Autor Wątek: Nowe rekordy prędkości rowerów  (Przeczytany 102345 razy)

Franc

  • całkiem inny wariat
  • *****
  • Wiadomości: 2359
  • Ponad 30 lat na poziomie
    • Moje zdjęcia rowerów
Nowe rekordy prędkości rowerów
« dnia: Września 15, 2010, 11:50:40 am »
Christian von Ascheberg na torze testowym Dekry przejechał 1000km w 19h27min a następnie kontynuował jazdę, zamykając dobę wynikiem 1219km w 24h
relacja po angielsku: http://droplimits.de/index.php?option=com_content&view=article&id=202:record-report-in-english&catid=47:dekra-rekordwochenende&Itemid=115
i link do całej strony: http://www.droplimits.de

Natomiast Sam Whittingham podniósł poprzeczkę w jeździe godzinnej z 84.2km (jego poprzedni rekord świata) do 90.6km w ciągu godziny.

Rekordy są w trakcie zatwierdzania.
Franc "Rowery Poziome Rule"

IMK P14-001 (SWB ASS)
Thyss 222
IMK P12 (SWB, USS, B2B tandem)
Twister 800

sławek

  • całkiem inny wariat
  • *****
  • Wiadomości: 717
Odp: Nowe rekordy prędkości rowerów
« Odpowiedź #1 dnia: Września 15, 2010, 01:47:48 pm »
a następnie kontynuował jazdę, zamykając dobę wynikiem 1219km w 24h

  Cieniarz!  Ledwie 50-kę przekroczył ...  ;)
Sławek

kaczor1

  • całkiem inny wariat
  • *****
  • Wiadomości: 1076
  • www.kaczor2.blogspot.com
    • HPV Poland & Recumbent Bike
Odp: Nowe rekordy prędkości rowerów
« Odpowiedź #2 dnia: Września 15, 2010, 01:57:17 pm »
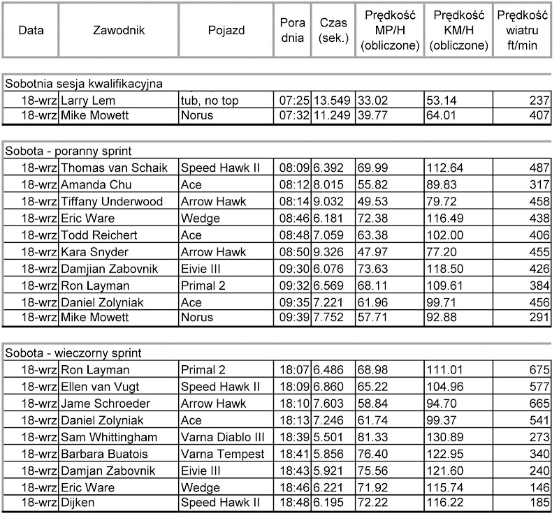
To jak już przy rekordach jesteśmy, to przypomnę, że od poniedziałku 13.09 do 18.09 w Newadzie, trwa bicie kolejnych rekordów.

Wyniki kwalifikacji z pierwszego dnia.

« Ostatnia zmiana: Września 18, 2014, 03:02:31 pm wysłana przez kaczor1 »

kaczor1

  • całkiem inny wariat
  • *****
  • Wiadomości: 1076
  • www.kaczor2.blogspot.com
    • HPV Poland & Recumbent Bike
Odp: Nowe rekordy prędkości rowerów
« Odpowiedź #3 dnia: Września 15, 2010, 08:41:24 pm »
« Ostatnia zmiana: Września 15, 2010, 08:43:20 pm wysłana przez kaczor1 »

kaczor1

  • całkiem inny wariat
  • *****
  • Wiadomości: 1076
  • www.kaczor2.blogspot.com
    • HPV Poland & Recumbent Bike
Odp: Nowe rekordy prędkości rowerów
« Odpowiedź #4 dnia: Września 16, 2010, 09:54:45 am »

kaczor1

  • całkiem inny wariat
  • *****
  • Wiadomości: 1076
  • www.kaczor2.blogspot.com
    • HPV Poland & Recumbent Bike
Odp: Nowe rekordy prędkości rowerów
« Odpowiedź #5 dnia: Września 16, 2010, 04:50:04 pm »

Drzimi

  • sympatyk na poziomie
  • **
  • Wiadomości: 37
Odp: Nowe rekordy prędkości rowerów
« Odpowiedź #6 dnia: Września 16, 2010, 11:38:13 pm »
Ej to ja wg pierwszej tabelki bym się klasyfikował na 10-ej pozycji... 81,5... o ile liczy się wynik zza ciężarówki... (szkoda, że mi wtedy uciekła, ale przełożenia nie pozwoliły na więcej... :P)
Ten co nie uznaje rowerów poniżej 3-ech metrów i 30-u kilogramów...

sławek

  • całkiem inny wariat
  • *****
  • Wiadomości: 717
Odp: Nowe rekordy prędkości rowerów
« Odpowiedź #7 dnia: Września 17, 2010, 09:23:55 am »
bym się klasyfikował na 10-ej pozycji... 81,5... o ile liczy się wynik zza ciężarówki... (szkoda, że mi wtedy uciekła,  :P)

  Mogło Cię nieźle pier....ć  jak  wychodziłeś "z cienia aerodynamicznego".  Przy tych prędkościach to już nie ma żartów... :o  Podobnie jak auto wychodzące zza ściany lasu wiatr potrafi rzucić do rowu lub na drugi pas...
Sławek

kaczor1

  • całkiem inny wariat
  • *****
  • Wiadomości: 1076
  • www.kaczor2.blogspot.com
    • HPV Poland & Recumbent Bike
Odp: Nowe rekordy prędkości rowerów
« Odpowiedź #8 dnia: Września 17, 2010, 09:57:14 am »

kaczor1

  • całkiem inny wariat
  • *****
  • Wiadomości: 1076
  • www.kaczor2.blogspot.com
    • HPV Poland & Recumbent Bike
Odp: Nowe rekordy prędkości rowerów
« Odpowiedź #9 dnia: Września 20, 2010, 08:42:19 am »

kaczor1

  • całkiem inny wariat
  • *****
  • Wiadomości: 1076
  • www.kaczor2.blogspot.com
    • HPV Poland & Recumbent Bike
Odp: Nowe rekordy prędkości rowerów
« Odpowiedź #10 dnia: Września 20, 2010, 08:49:28 am »

kaczor1

  • całkiem inny wariat
  • *****
  • Wiadomości: 1076
  • www.kaczor2.blogspot.com
    • HPV Poland & Recumbent Bike
Odp: Nowe rekordy prędkości rowerów
« Odpowiedź #11 dnia: Września 20, 2010, 08:53:08 am »

kaczor1

  • całkiem inny wariat
  • *****
  • Wiadomości: 1076
  • www.kaczor2.blogspot.com
    • HPV Poland & Recumbent Bike
Odp: Nowe rekordy prędkości rowerów
« Odpowiedź #12 dnia: Września 20, 2010, 09:06:44 am »
I w ten oto sposób, dobiegły końca wszystkie sesje WHPSC (Word Human Powered Speed Challenge) 2010

Mamy jeden nowy rekord w kategorii kobiet, ustanowiony przez Barbare Buatois 121,81 km/h
Sam Whittingham niestety nie pobił rekordu roku 2009 - 133,284 km/h ( swojego własnego zresztą )

MaciejDlugosz

  • Gość
Odp: Nowe rekordy prędkości rowerów
« Odpowiedź #13 dnia: Października 14, 2010, 08:41:56 am »
A teraz jedziemy przez "bite" 6 godzin i osiągamy ŚREDNIĄ prędkość 71 km/h (przez 6 godzin!!!) i udało się nam przejechać 427 km!!!

http://www.droplimits.de/index.php?option=com_content&view=article&id=259:6-stunden-weltrekord-von-ellen-van-vugt-protokoll&catid=83:race-support&Itemid=122      ----> źródło, są też podane czasy poszczególnych okrążeń



« Ostatnia zmiana: Października 14, 2010, 08:45:31 am wysłana przez Maciej Długosz »

kaczor1

  • całkiem inny wariat
  • *****
  • Wiadomości: 1076
  • www.kaczor2.blogspot.com
    • HPV Poland & Recumbent Bike
Odp: Nowe rekordy prędkości rowerów 2011
« Odpowiedź #14 dnia: Września 17, 2011, 08:13:03 am »
W Newadzie znowu zmagania o najszybszego miano, zażarte się toczą.

http://www.wisil.recumbents.com/wisil/whpsc2011/results.htm

I mamy nowy rekord ustanowiony przez Greg'a Westlake'a na Avos Arrow

Kanadyjczyk pokonał trasę z prędkością 73,51km/h. Początkowo myślałem, że to błąd, póki nie doczytałem, że Avos Arrow, to handbike.